Coursera ML(3)-Multivariate Linear Regression python实现
Multivariate Linear Regression and Programming Exercise 1
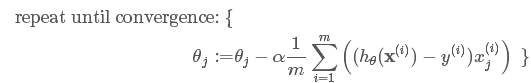
Gradient Descent for Multiple Variables
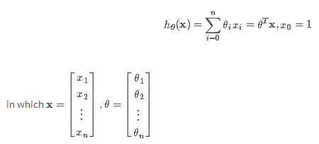
- Suppose we have n variables, set hypothesis to be:

Cost Function

Gradient Descent Algorithm

Get every feature into approximately [-1, 1]. Just normalize all the parameters :)Learning Rate:Not too big(fail to converge), not too small(too slow)
- Polynormal Regression:Use feature scalling. (Somewhat like normalizing dimension)
Programming Exercise 1
下载程序及相关数据
Stanford coursera Andrew Ng 机器学习课程编程作业(Exercise 1),作业下载链接貌似被墙了,下载链接放这。
http://home.ustc.edu.cn/~mmmwhy/machine-learning-ex1.zip
重新推导一下:
其实这里一共就两个式子:
- computeCost
gradientDescent
python拟合实现代码
原本用的是matlab代码,我用python实现了一下,结果是一样的:
1 | import numpy as np |

输出的图有点小,就这样吧。
Coursera ML(3)-Multivariate Linear Regression python实现

