Coursera ML(11)-Programming Exercise 5 机器学习诊断法

对应 机器学习诊断法


复习内容

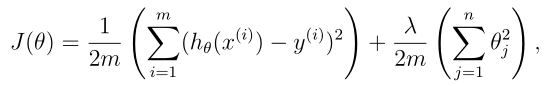
Regularized linear regression cost function


对应matlab代码:

1
2
3
J = 1/(2*m)*sum((X*theta - y).^2) ;
regularize = lambda /(2*m)* (sum(theta.^2)-theta(1).^2);
J = J + regularize;

Regularized linear regression gradient


如果对这里有疑惑,这个部分也有相应的推导过程:

梯度对应代码:

1
2
3
4
5
n = size(theta);
for i=1:n
grad(i) = 1/m * sum((X*theta - y).*X(:,i)) + lambda/m *theta(i);
end
grad(1) = 1/m * sum((X*theta - y).^X(:,1));

Learning curves

Polynomial regression

Programming Exercise 5 - Regularized Linear Regression and Bias v.s. Variance

1
2
3
4
5
6
7
8
9
10
11
12
13
14
15
16
17
18
19
20
21
22
23
# %load ../../../standard_import.txt
import pandas as pd
import numpy as np
import matplotlib as mpl
import matplotlib.pyplot as plt

from scipy.io import loadmat
from scipy.optimize import minimize

from sklearn.linear_model import LinearRegression, Ridge
from sklearn.preprocessing import PolynomialFeatures

pd.set_option('display.notebook_repr_html', False)
pd.set_option('display.max_columns', None)
pd.set_option('display.max_rows', 150)
pd.set_option('display.max_seq_items', None)

#%config InlineBackend.figure_formats = {'pdf',}
%matplotlib inline

import seaborn as sns
sns.set_context('notebook')
sns.set_style('white')
1
2
data = loadmat('data/ex5data1.mat')
data.keys()
dict_keys(['__header__', '__version__', '__globals__', 'X', 'y', 'Xtest', 'ytest', 'Xval', 'yval'])
1
2
3
4
5
6
7
8
9
10
11
y_train = data['y']
X_train = np.c_[np.ones_like(data['X']), data['X']]

yval = data['yval']
Xval = np.c_[np.ones_like(data['Xval']), data['Xval']]


print('X_train:', X_train.shape)
print('y_train:', y_train.shape)
print('Xval:', Xval.shape)
print('yval:', yval.shape)
X_train: (12, 2)
y_train: (12, 1)
Xval: (21, 2)
yval: (21, 1)

Regularized Linear Regression

1
2
3
4
plt.scatter(X_train[:,1], y_train, s=50, c='r', marker='x', linewidths=1)
plt.xlabel('Change in water level (x)')
plt.ylabel('Water flowing out of the dam (y)')
plt.ylim(ymin=0);

Regularized Cost function

1
2
3
4
5
6
7
8
def linearRegCostFunction(theta, X, y, reg):
m = y.size

h = X.dot(theta)

J = (1/(2*m))*np.sum(np.square(h-y)) + (reg/(2*m))*np.sum(np.square(theta[1:]))

return(J)

Gradient

1
2
3
4
5
6
7
8
def lrgradientReg(theta, X, y, reg):
m = y.size

h = X.dot(theta.reshape(-1,1))

grad = (1/m)*(X.T.dot(h-y))+ (reg/m)*np.r_[[[0]],theta[1:].reshape(-1,1)]

return(grad.flatten())
1
2
3
4
5
initial_theta = np.ones((X_train.shape[1],1))
cost = linearRegCostFunction(initial_theta, X_train, y_train, 0)
gradient = lrgradientReg(initial_theta, X_train, y_train, 0)
print(cost)
print(gradient)
303.951525554
[ -15.30301567  598.16741084]
1
2
3
4
5
6
7
8
9
10
def trainLinearReg(X, y, reg):
#initial_theta = np.zeros((X.shape[1],1))
initial_theta = np.array([[15],[15]])
# For some reason the minimize() function does not converge when using
# zeros as initial theta.

res = minimize(linearRegCostFunction, initial_theta, args=(X,y,reg), method=None, jac=lrgradientReg,
options={'maxiter':5000})

return(res)
1
2
fit = trainLinearReg(X_train, y_train, 0)
fit
      fun: 1604.4002999186634
 hess_inv: array([[ 1.03142187,  0.00617881],
       [ 0.00617881,  0.001215  ]])
      jac: array([  3.42437190e-12,  -5.70371898e-10])
  message: 'Optimization terminated successfully.'
     nfev: 6
      nit: 4
     njev: 6
   status: 0
  success: True
        x: array([ 13.08790351,   0.36777923])

Comparison: coefficients and cost obtained with LinearRegression in Scikit-learn

1
2
3
4
regr = LinearRegression(fit_intercept=False)
regr.fit(X_train, y_train.ravel())
print(regr.coef_)
print(linearRegCostFunction(regr.coef_, X_train, y_train, 0))
[ 13.08790351   0.36777923]
1604.40029992
1
2
3
4
5
6
7
8
plt.plot(np.linspace(-50,40), (fit.x[0]+ (fit.x[1]*np.linspace(-50,40))), label='Scipy optimize')
#plt.plot(np.linspace(-50,40), (regr.coef_[0]+ (regr.coef_[1]*np.linspace(-50,40))), label='Scikit-learn')
plt.scatter(X_train[:,1], y_train, s=50, c='r', marker='x', linewidths=1)
plt.xlabel('Change in water level (x)')
plt.ylabel('Water flowing out of the dam (y)')
plt.ylim(ymin=-5)
plt.xlim(xmin=-50)
plt.legend(loc=4);

1
2
3
4
5
6
7
8
9
10
11
12
def learningCurve(X, y, Xval, yval, reg):
m = y.size

error_train = np.zeros((m, 1))
error_val = np.zeros((m, 1))

for i in np.arange(m):
res = trainLinearReg(X[:i+1], y[:i+1], reg)
error_train[i] = linearRegCostFunction(res.x, X[:i+1], y[:i+1], reg)
error_val[i] = linearRegCostFunction(res.x, Xval, yval, reg)

return(error_train, error_val)
1
t_error, v_error = learningCurve(X_train, y_train, Xval, yval, 0)
1
2
3
4
5
6
plt.plot(np.arange(1,13), t_error, label='Training error')
plt.plot(np.arange(1,13), v_error, label='Validation error')
plt.title('Learning curve for linear regression')
plt.xlabel('Number of training examples')
plt.ylabel('Error')
plt.legend();

Polynomial regression (Scikit-learn)

1
2
3
4
5
6
7
8
9
10
11
12
13
14
15
16
17
18
19
20
21
22
poly = PolynomialFeatures(degree=8)
X_train_poly = poly.fit_transform(X_train[:,1].reshape(-1,1))

regr2 = LinearRegression()
regr2.fit(X_train_poly, y_train)

regr3 = Ridge(alpha=20)
regr3.fit(X_train_poly, y_train)

# plot range for x
plot_x = np.linspace(-60,45)
# using coefficients to calculate y
plot_y = regr2.intercept_+ np.sum(regr2.coef_*poly.fit_transform(plot_x.reshape(-1,1)), axis=1)
plot_y2 = regr3.intercept_ + np.sum(regr3.coef_*poly.fit_transform(plot_x.reshape(-1,1)), axis=1)

plt.plot(plot_x, plot_y, label='Scikit-learn LinearRegression')
plt.plot(plot_x, plot_y2, label='Scikit-learn Ridge (alpha={})'.format(regr3.alpha))
plt.scatter(X_train[:,1], y_train, s=50, c='r', marker='x', linewidths=1)
plt.xlabel('Change in water level (x)')
plt.ylabel('Water flowing out of the dam (y)')
plt.title('Polynomial regression degree 8')
plt.legend(loc=4);

Coursera ML(11)-Programming Exercise 5 机器学习诊断法

https://iii.run/archives/e7f74e597c07.html

作者

mmmwhy

发布于

2017-05-17

更新于

2026-03-27

许可协议

评论