算法实验(一)
快速排序与背包问题相关算法分析
快速排序
普通快速排序
算法效率:
- 最坏情况下分析:当输入序列是正序或者是反序的时候,效率最坏,这时效率是$Θ(n^2)$
- 最优情况下分析:其他情况下的算法效率趋向于$Θ(nlgn)$
伪代码
对整个数组进行递归排序:快速排序算法的关键是PARTITION过程,它对A[p..r]进行就地重排:1
2
3
4
5QUICKSORT(A,p,r)
if p < r:
q = PARTITION(A,p,r);
QUICKSORT(A,p,q-1);
QUICKSORT(A,q+1,r);1
2
3
4
5
6
7
8
9PARTITION(A,p,r)
x = A[r]
i = p-1
for j = p to r-1// A[j]是待比较的元素
if A[j] ≤ r// 若A[j]比主元小
i = i + 1 // i往后一位(符合,不用替换;不符合i就停在这个地方,等着j过来叫唤)
exchange A[i] with A[j]//倘若A[j]比主元小,其实是不发生交换的。
exchange A[i+1] with A[r]
return i + 1python代码
1
2
3
4
5
6
7
8
9
10
11
12
13
14
15
16
17
18
19
20
21
22
23
24
25
26
27
28
29
30
31
32
33
34# coding=utf-8
import datetime
import sys
sys.setrecursionlimit(1000000)
def SET_NUMBER():
l = []
for i in range(0,len(range(1,2000,2)[::-1])-1):
l.append(range(1,2000,2)[::-1][i])
return l
def PARTITION(A,p,r):
x = A[r]
i = p - 1
for j in range(p,r):
if A[j]<=x:
i = i + 1
A[i],A[j]=A[j],A[i]
A[i+1],A[r] = A[r],A[i+1]
return i+1
def QUICKSORT(A,p,r):
if p >= r:
return
q = PARTITION(A,p,r)
QUICKSORT(A,p,q-1)
QUICKSORT(A,q+1,r)
if __name__ == '__main__':
l = SET_NUMBER()
time1 = datetime.datetime.now()
QUICKSORT(l,0,len(l)-1)
time2 = datetime.datetime.now()
print(time2-time1)
随机快速排序
算法效率
我们已经知道,若输入本身已被排序,那么对于快排来说就糟了。那么如何避免这样的情况?一种方法时随机排列序列中的元素;另一种方法时随机地选择主元(pivot)。这便是随机化快速排序的思想,这种快排的好处是:其运行时间不依赖于输入序列的顺序。
经分析, 随机化快排的算法效率是$Θ(nlgn)$
伪代码
下面是分化(Partition)1
2
3
4Random_Partition(vector<T> &A,int p,int q)
int i=rand()%(q-p)+p; //此行与快排不同、加入随机数参数器
Swap(A[i],A[p]); //此行与快排不同、随机选取主元
return Partition(A,p,q);//此次与快速排序一样
随机化快速排序1
2
3
4
5Random_Quick_Sort(vector<T> &A,int p,int q)
if (p<q):
int i=Random_Partition(A,p,q);
Random_Quick_Sort(A,p,i-1);
Random_Quick_Sort(A,i+1,q);
python代码
1 | # coding=utf-8 |
时间效率
- 对于倒序数组
range(1,2000,2)[::-1](1000 个数字)- 使用正常快速排序时间为:0:00:00.082566
- 使用随机快速排序时间为:0:00:00.005815
- 对于随机数组
random.randint(0,9999)(重复 1000 次)- 使用正常快速排序时间为:0:00:00.002974
- 使用随机快速排序时间为:0:00:00.004901
分析性能差异
快速排序的平均时间复杂度为 $O(n \log n)$,最坏时间可达到 $O(n^2)$,最坏情况是当要排序的数列基本有序的时候。根据快速排序的工作原理我们知道,选取第一个或者最后一个元素作为主元,快速排序依次将数列分成两个数列,然后递归将分开的数列进行排序。
当把数列平均分成两个等长的数列时,效率是最高的,如果两部分相差太大,效率就会降低。
我们通过使用随机化的快速排序,随机地从数列中选取一个元素与第一个或者最后一个元素交换,这样就会使得数列有序的概率降低。
所以随机快速排序平均速度比快速排序要快,但是因为随机排序需要设置随机数和交换元素的时间,因此在总时间上不如普通快速排序。
背包问题
动态规划知识复习
基本步骤
- 找出最优解的性质,并刻画其结构特征
- 递归地定义最优解的值
- 以自底而上的方式计算出最优值
- 根据计算最优值时得到的信息,构造一个最优解。
若给定问题具有以下性质:
- 最优子结构:如果一个问题的最优解中包含了其子问题的最优解,就说该问题具有最优子结构。当一个问题具有最优子结构时,提示我们动态规划法可能会适用,但是此时贪心策略可能也是适用的。
- 重叠子问题:指用来解原问题的递归算法可反复地解同样的子问题,而不是总在产生新的子问题。即当一个递归算法不断地调用同一个问题时,就说该问题包含重叠子问题。此时若用分治法递归求解,则每次遇到子问题都会视为新问题,会极大地降低算法的效率,而动态规划法总是充分利用重叠子问题,对于每个子问题仅计算一次,把解保存在一个在需要时就可以查看的表中,而每次查表的时间为常数。
0-1背包问题
定义问题
问题:有n个物品,第i个物品价值为$v_i$,重量为$w_i$,其中$v_i$和$w_i$均为非负数,背包的容量为W,W为非负数。现需要考虑如何选择装入背包的物品,使装入背包的物品总价值最大。
该问题以形式化描述如下:
- 目标函数为 :

- 约束条件为:

满足约束条件的任一集合(x1,x2,…,xn)是问题的一个可行解,问题的目标是要求问题的一个最优解。考虑一个实例,假设n=5,W=17, 每个物品的价值和重量如下表所示。可将物品1,2和5装入背包,背包未满,获得价值22,此时问题解为你(1,1,0,0,1)。也可以将物品4和5装入背包,背包装满,获得价值24,此时解为(0,0,0,1,1)。
按步骤求解问题
- 找出最优解的性质,并刻画其结构特征
可以将背包问题的求解过程看作是进行一系列的决策过程,即决定哪些物品应该放入背包,哪些物品不放入背包。如果一个问题的最优解包含了物品n,即$xn=1$,那么其余$x_1,x_2,…,x(n-1)$一定构成子问题1,2,…,n-1在容量W-wn时的最优解。如果这个最优解不包含物品n,即$xn$=0,那么其余$x_1,x_2,…,x(n-1)$一定构成子问题1,2,…,n-1在容量W时的最优解。 - 递归定义最优解的值
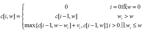
根据上述分析的最优解的结构递归地定义问题最优解。设c[i,w]表示背包剩余容量为w时,i个物品导致的最优解的总价值。
分为三种情况:- i或者w等于0,没有空间也没有物品的时候;
- 第i的物品的重量已经超过当前空间时;
- 在增加第i个物品和不增加第i个物品之间做出艰难的抉择;

- 以自底而上的方式计算出最优值
伪代码:1
2
3
4
5
6
7
8
9
10BOTTOM-UP-CUT-ROD(p,n)
let r[0..n] be a new array
r[0]= 0
for j = 1 to n
q= -∞
for i = 1 to j
q = max(q, p[i]+r[j-i])
r[j]= q
return r[n]
python代码
1 | #coding:utf-8 |
部分背包问题
题目要求使用贪心算法
- 部分背包问题与0-1背包问题的差别在于:可以带走一部分。即,部分背包问题可带走的物品 是可以 无限细分的。
- 贪心策略是:总是优先选择单位重量下价值最大的物品
具体题目
假设背包可容纳50Kg的重量,物品信息如下:
| 物品 i | 重量(Kg) | 价值 | 单位重量的价值 |
|---|---|---|---|
| 1 | 10 | 60 | 6 |
| 2 | 20 | 100 | 5 |
| 3 | 30 | 120 | 4 |
伪代码
这个看起来就很简单,先装单价最高的1,剩下的地方装2,再剩下的地方装3
我也不知道怎么写伪代码,直接写python吧
C代码
1 |
|



