面试题62. 圆圈中最后剩下的数字
题目
1 | 0,1,,n-1这n个数字排成一个圆圈,从数字0开始,每次从这个圆圈里删除第m个数字。求出这个圆圈里剩下的最后一个数字。 |
- 每次重新数的位置,都是上次删除数字的下一位。
暴力解法
我的第一反应是,将每次的起点的记录下来,然后计算( x + m - 1 ) % len(data)
写出的代码如下:
1 | class Solution: |
结果应该是正确的,但实际上不可用,因为循环次数过多,计算复杂。
递推解法
首先将过程进行罗列:

如果我们用
f(n,m) 表示 n 个数字,每次删除第 m 个元素,最终保留下来的元素编号
f(n-1,m) 表示 n 个数字时,每次删除第 m 个元素,最终留下来的元素编号。
问题1:如果我们知道 5 个数的时候,最终 2 会留下来。那么 4 个数字的时候,谁会留下来呢?
回答1:当第一次把 2 删除之后,所有的元素都前进了 3 位(因为重新从3开始排序的原因)。 所以4个人的时候,第 0 个位置的会留到最后。
问题2: 如果我们知道 4 个数字的时候,第0个位置的会留下来。那么 5 个数字的时候,谁会留下来?
回答2: 这是上一个问题的逆过程,所有元素向后退 3 个元素即可。因此 f(5,3) = f(4,3) + 3 ,但数组存在越界问题,因此 f(5,3) = f(4,3) + 3 % 5
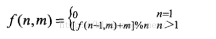
于是递推公式可以为:

当前位置要删除的元素,应该是 (上次的起点 + m ) %当前长度得到,那么可以递推得到
- n = 1 时,要删除的元素:0;
- n = 2 时,索引:(0 + m) % 2;
- n = 3 时,索引:((0 + m) % 2 + m) % 3;
- n = 4 时,索引:(((0 + m) % 2 + m) % 3 + m) % 4;
- n = 5 时,索引:((((0 + m) % 2 + m) % 3 + m) % 4 + m) % 5。
1 | class Solution: |
面试题62. 圆圈中最后剩下的数字