长短时记忆网络 LSTM
由于 RNN 也有梯度消失的问题,因此很难处理长序列的数据,研究者们对 RNN 做了改进,得到了 RNN 的特例 LSTM(Long Short-Term Memory),它可以避免常规 RNN 的梯度消失,因此在工业界得到了广泛的应用。
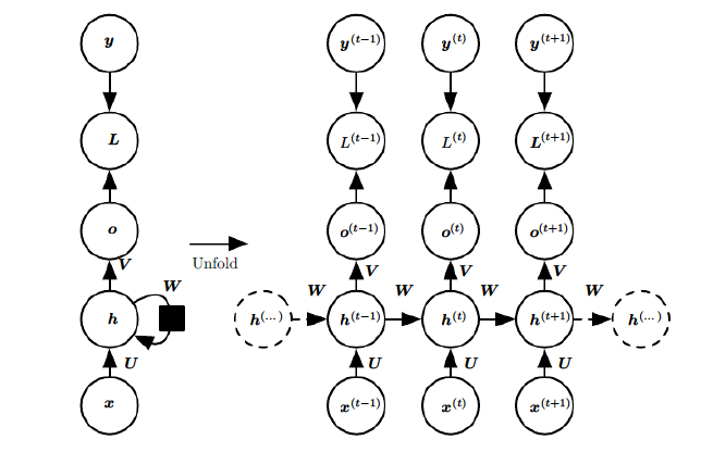
在 RNN 模型里,我们讲到了 RNN 具有如下的结构:每个序列索引位置 t 都有一个隐藏状态 $h^{(t)}$。

如果我们略去每层都有的 $o^{(t)}$、$L^{(t)}$、$y^{(t)}$,则 RNN 的模型可以简化成如下图的形式:

图中可以很清晰看出在隐藏状态$h^{(t)}$由$x^{(t)}$和$h^{(t−1)}$得到。得到$h^{(t)}$后一方面用于当前层的模型损失计算,另一方面用于计算下一层的$h^{(t+1)}$。
由于 RNN 梯度消失的问题,研究者们对序列索引位置 t 的隐藏结构做了改进,通过一些技巧让隐藏结构更加复杂,从而避免梯度消失的问题,这样的特殊 RNN 就是 LSTM。由于 LSTM 有很多变种,这里我们以最常见的 LSTM 为例讲述。LSTM 的结构如下图:

LSTM模型结构剖析
上面我们给出了 LSTM 的模型结构,下面我们逐步剖析 LSTM 模型在每个序列索引位置 t 时刻的内部结构。
从上图中可以看出,在每个序列索引位置 t 时刻向前传播的除了和 RNN 一样的隐藏状态 $h^{(t)}$,还多了另一个隐藏状态,如图中上面的长横线。这个隐藏状态我们一般称为细胞状态(Cell State),记为 $C^{(t)}$。如下图所示:

除了细胞状态,LSTM 图中还有很多特殊结构,这些结构一般称为门控结构(Gate)。LSTM 在每个序列索引位置 t 的门一般包括遗忘门、输入门和输出门三种。下面我们就来研究上图中 LSTM 的遗忘门、输入门和输出门以及细胞状态。
LSTM之遗忘门
遗忘门(forget gate)顾名思义,是控制是否遗忘的,在 LSTM 中以一定的概率控制是否遗忘上一层的隐藏细胞状态。遗忘门子结构如下图所示:

图中输入的有上一序列的隐藏状态 $h^{(t−1)}$ 和本序列数据 $x^{(t)}$,通过一个激活函数(一般是 sigmoid),得到遗忘门的输出 $f^{(t)}$。由于 sigmoid 的输出 $f^{(t)}$ 在 [0,1] 之间,因此这里的输出 $f^{(t)}$ 代表了遗忘上一层隐藏细胞状态的概率。
其中 $W_f$、$b_f$ 为线性关系的系数和偏置,和 RNN 中的类似。$\sigma$ 为 sigmoid 激活函数。
LSTM之输入门

从图中可以看到输入门由两部分组成。
第一部分使用了 sigmoid 激活函数,输出为 $i^{(t)}$。
第二部分使用了 tanh 激活函数,输出为 $a^{(t)}$,两者的结果后面会相乘再去更新细胞状态。
LSTM之细胞状态更新

其中,⊙ 为 Hadamard 积。
细胞状态 $C^{(t)}$ 由两部分组成:
第一部分是 $C^{(t−1)}$ 和遗忘门输出 $f^{(t)}$ 的乘积;
第二部分是输入门的 $i^{(t)}$ 和 $a^{(t)}$ 的乘积。
LSTM之输出门

从图中可以看出,隐藏状态 $h^{(t)}$ 的更新由两部分组成:
第一部分是 $o^{(t)}$,它由上一序列的隐藏状态 $h^{(t−1)}$ 和本序列数据 $x^{(t)}$,以及激活函数 sigmoid 得到;
第二部分由细胞状态 $C^{(t)}$ 和 tanh 激活函数组成。
以上就是 LSTM 前向传播的过程。
参考
长短时记忆网络 LSTM