NLP 之 n-gram
N-Gram 模型
N-Gram 模型基于这样一个假设,第 n 个词的出现只与前边的 n-1 个词有关,与其他的任何词都不相关,整句的概率就是各个词出现的概率的乘积。
这些概率可以通过直接从语料中统计n个词同时出现的次数得到,常用的是二元的Bi-Gram和三元的Tri-Gram。
原始问题
假设我们目前有一个句子T,句子T有许多个词组成。
现在我来考虑一下这个句子出现的概率也就是:

比方说,今天天气真好,这个句子出现的概率。就应该是:

现在问题转化为求后面的每一个条件概率。
但其实你会发现,这些条件概率非常不好求,因为这个数据简直没法计算。
特别是越到后边,条件概率对应的先验概率就会越复杂。
存在两个致命的缺陷:
- 参数空间过大,不可能实用化
- 数据稀疏严重
n-Gram
1-Gram
利用马尔科夫链的假设
我们做一个假设,第 n 个词出现的概率只与前 n-1 个词有关系。
极端一些,先把n取1,也就是每个词的出现都是独立的。

2-Gram
假设n取2,也就是每个词的出现仅与前一个词出现有关。
此时为2-Gram模型也就是Bi-Gram,句子的概率为:
3-Gram
假设n取3,也就是每个词的出现仅与前两个词有关,此时为3-Gram模型,也就是Tr-Gram,句子的概率为:
回到我们刚刚那句话,今天天气真好,如果采用2-Gram的模型我们有:
这里说明一下:采用N-Gram模型的时候,在句子开始与结束需要补充N-1个标识符。表示开始 表示结束
至此,N-Gram模型就已经基本介绍完毕了。
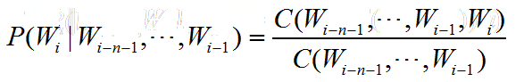
N-Gram 计算

C代表的出现的次数。比方说,我们在一个语料库中已经统计好了下表。
第一行第二列代表,i出现在want前面的827次数。
下表代表每个词出现的次数。比如 i 一共出现了 2533 次。

那么概率为:
小结
无后验性在NLP中是一个很有意思的特性,在word2vec中、HMM、CRF中都有类似的特性。
NLP 之 n-gram